Thanks Driven Life

日々是感謝

2012-10-01から1日間の記事一覧

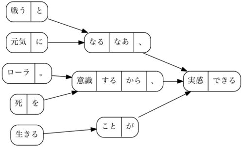
日本語係り受け解析結果を Graphviz で表示してみたかった

Yet Another Ruby Graphviz Interfaceを作ったからみんなで大量のグラフを作って遊ぼうよ! を読んで とても手軽な grapvhiz への道と思ったので、何か表示させてみたいなって思いました。 その結果、最近いろいろあって触ってる「日本語係り受け解析」を使…

ふと起きると月が綺麗でした

ので、試しに撮影してみた。 しかしよくわからないので、とりあえず Canon PowerShot S100でも,月の撮影。: まわりぶろぐ を参考にできてるようなできてないような?